
H (live)
René Huthwelker (live)
Tintin Patrone (video)
Phil Struck (DJ)
Konstantin Bessonov (DJ)
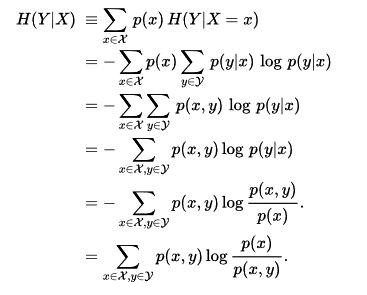
The first cassette-album by H, -log p, is finally released on the new STOFFE-label. The featured tracks span a five year period of live improvisations recorded in a practice room at Hamburgs FleischGroßmarkt. The tape was mastered by Brandon Hacura and designed by Konstantin Bessonov and Phil Struck.
Limited edition of 50, available now at bandcamp.
The tape was reviewed by Tristan Bath on The Quietus:
„Spanning five years worth of live improvisations recorded by a German duo sparring noisemaking electronics and drum kit, – log p by H (one of the first tape issued by the brand new and mysterious STOFFE imprint from Hamburg) shouldn’t be anything like as cohesive and satisfying as it is. Recorded in a practice room at Hamburg’s FleischGroßmarkt, these six tracks head deep into long rhythmic wig outs, perhaps latently resembling Black Dice or even Boredoms. But overall it’s slower and darker – haunted even. Tracks such as the catchily titled ‘p(AB)p(B)p(A)’ go menacingly nowhere slowly for ten minutes at a stretch.
David Wallraf mans the aforementioned electronic noisemaking gear, with online video clips showing him controlling banks of netted synth modules and mixers, yelling inaudible gibberish into processed microphones, turning voltage into a mixture of cycling drones, bass buzz, and leering ambience. The fact that drummer Klaus Frieler is so patient throughout is perhaps the key to what makes H so damn compelling for such a simple duo. He calmly moves forward on the lengthy ‘E = hf’ without ever falling into a motorik loop or pounding angrily; he just calmly sets the pace while Wallraf’s bed of noisy flowers slowly blooms into a breathtaking chaos of bubbling electronics growing angry. They take their time getting there, but H at their peak are something exceptional.“
H will play one of their rare concerts in Warsaw this month. The organizers FLAUTA write this about the event:
„In collaboration with the activist’s group Mroky, we collect money to support organisation which aim is to help refugees on the Bosnian-Croatian border. The estimated number of immigrants staying there at the moment is around 3 thousands. Most of them live in the ‚official‘ camps in Velika Kladuša and Bihac. Those camps, managed by IOM (International Organization for Migration) do not provide appropriate sanitary conditions, nor heating or necessary clothes and are constantly being overfull. The SOS Team Kladuša is for now the only organisation which supports people living outside the camps – delivering warm meals, distributing clothes and providing medical help. This event is a part of the Rok Antyfaszystowski (Anti-Fasict Year) initiative’s programme.“
The show will take place at Pogłos/ Burakowska 12 Warsaw, 21:00, tax 20 pln

We will play our first show in four years at MS Stubnitz in Hamburg with
Horacio Pollard. Showtime 21.00, entrance fee 6,- e.